Imager Circuit Noise: Difference between revisions
imported>Student2017 |
imported>Student2017 |
||
| Line 81: | Line 81: | ||
Thus far, we have discussed the different types of image noise that arise from imager circuits and the two main modes of photodetector readouts used in CMOS sensors. In this section we zoom into the 3-T voltage mode imager circuit and look at the major contributors of the different types of circuit noise. This would perhaps give us insight on how to design imager circuits with better noise performance. | Thus far, we have discussed the different types of image noise that arise from imager circuits and the two main modes of photodetector readouts used in CMOS sensors. In this section we zoom into the 3-T voltage mode imager circuit and look at the major contributors of the different types of circuit noise. This would perhaps give us insight on how to design imager circuits with better noise performance. | ||
[[File:Noise_sources.png| | [[File:Noise_sources.png|750px|thumb|center|Noise sources on an imager circuit]] | ||
In the figure above, the transistors with the largest noise contributions have been highlighted. It is importantly to note that the transistor with the SEL input acts as a switch and so does not have a significant noise contribution. | In the figure above, the transistors with the largest noise contributions have been highlighted. It is importantly to note that the transistor with the SEL input acts as a switch and so does not have a significant noise contribution. | ||
Revision as of 12:30, 15 December 2017
Introduction
In this brief, we study noise in image sensors. We will focus on studying the noise that results from the circuits of image sensors. First, we will give an overview of the different types of noise in imagers. We will then discuss the different types of imagers followed by an overview of how the circuit design choices of the imagers affect the noise contributions of the circuits. Finally, we will show how the noise contributions from the circuits affect the image quality by use of ISET camera simulations.
Overview of Sensor Noise
Noise in image sensors can be grouped as either temporal or fixed-pattern noise [1]. Temporal noise as the name suggests, changes from acquisition to acquisition and hence non-deterministic in nature. An example of this type of noise is the photon noise from the scene which has a Poisson distribution and depends on factors such as scene illumination. Other examples of temporal noise include thermal, shot and flicker noise from circuits. These last three are the focus of our discussion since they arise from circuits.
Fixed pattern noise on the other hand refers to variations that appear in all acquisitions made by a sensor. Examples of of fixed pattern noise include:
PRNU - Photo-Response Non-uniformity - this noise is due to the variation of the surface area of pixels across a sensor array. This in return causes random gain variations between different pixels across the sensor array. These variations are fixed over time[1].
DSNU - Dark Signal Non-uniformity - This arises due to the variation of the sensor reset circuitry across the sensor array. These differences may result in mean differences in dark voltage levels. To understand how this happens, assume you have an array of water buckets each with a faucet at the top for filling them up and a tap at the bottom that empties each bucket. Now, assume that all buckets are initially filled with water. The taps are then opened to empty the buckets in a fixed amount of time. Now, if all taps are exactly the same, all buckets will be emptied to same level during the emptying (reset) period. However, if some of the taps are faster than others, the different buckets will have different water levels (dark voltage) at the end of the emptying period.
Shot Noise
Shot noise is a non-deterministic temporal noise which comes from the circuitry of the image sensor, more specifically the photodiode. Shot noise is a result of the discrete movement of charge across a barrier. To understand how this works, it is perhaps easier to think of it like throwing marbles onto a table. Even though the marbles are thrown on the table at a constant rate, they fall off the table randomly (assuming the table is evenly flat) [2]. In a diode, the current flow across the junction is the equivalent of throwing marbles on a table at a constant rate. The movement of charge across the depletion region is random and hence is like the marbles falling off the table. It important to note that shot noise only occurs when current flows. Usually the photodiode is the main source of shot noise in the imager circuit. However, for short channel CMOS (Tox <= 20nm), current flows across the gate as a result of electron tunneling which introduces another source of shot noise in imagers made by such technology. Luckily, long-channel MOSFETS (and short-channel MOSFETS with high-K dielectrics) have very low to no gate-tunneling therefore the shot noise is not present or too small too matter. The power spectral density of shot noise is:
Where q is the electron charge and Idc is the DC current flowing through the diode.
Thermal Noise
Thermal noise is a non-deterministic temporal noise which comes from the circuitry of the image sensor, for instance MOSFETS and resistors. This noise results from the thermal agitations of electrons in a conductor. As a result, it is dependent on the temperature of the conductor. Thermal noise has a white spectrum with PSD of 4*kb*T*R where Kb is Boltzmann's constant, T is the temperature in Kelvin and R is the resistance of the conductor. It may seem that the thermal noise is infinite since the bandwidth of the thermal noise PSD in infinite, however, the thermal noise is bandwidth limited by the capacitances in the circuit. The RMS value of the thermal noise which is obtained through integration of thermal noise PSD over all frequencies is limited by the size of the capacitor and independent of the transistors triode on-resistance or resistor values. Mosfets in saturation have the thermal noise PSD shown below where K is the Boltzmann constant, T is the temperature, gm is the transconductance of the MOSFET, and gamma is a process parameter (usually 0.666).
Resistors have the thermal noise PSD shown below, where K is the Boltzmann constant, T is the temperature, and R is the resistor value.
MOSFETs in triode have a noise PSD similar to that of a resistor of shown below, where K is the Boltzmann constant, T is the temperature, and Ron is the resistance of the on-resistance of the transistor.
Lastly, assuming a first order roll-off from an RC circuit one can derive the noise equivalent bandwidth equation shown below, where R and C are the resistor and capacitor from the first order roll-off.
Flicker Noise
Flicker noise is a non-deterministic temporal noise which comes from the scene and the circuitry of the image sensor by virtually all components but dominated by the MOSFET transistors. Flicker noise is present whenever a direct current flows in a discontinuous material (for example a material’s surface or the interface between a MOSFETs gate oxide and the silicon used as the channel of the MOSFET). This noise is not dependent on temperature or current. Flicker noise has a PSD of 1/f which means that it is higher at lower frequencies.
The PSD of flicker noise from MOSFETS is:
Where KF is the flicker noise coefficient, Id is the DC drain current, AF is the flicker noise exponent, f is the frequency variable we integrate over, and LW is the length times the width of the device.
In consumer cameras, flicker noise can be removed or attenuated by use of Correlated Double Sampling. Essentially one measures the offset and then takes a picture in order to remove flicker noise and even some fixed-pattern noise.
Imagers used in astronomy are often limited by flicker noise from the scene. Since the integration times are much larger in astronomy, correlated double sampling is unfortunately not as effective in removing the flicker noise from the imager circuits but are still effective in removing static offsets. The flicker noise from the scene introduces a cumbersome limitation in astronomy since integrating flicker noise shows a linear increase in it's RMS noise voltage with measurement time. The result is an SNR that doesn't get better, and may get worse, by increasing the measurement.

Overview of Imagers
Image sensors consist of an array of pixels each of which has a photodetector that converts incident photons into photocurrent. Additionally, the pixels have readout circuitry that converts the photocurrent to convert the photocurrent into charge or voltage that can then be read off the array to be interpreted. There are two groups of readout topologies: Current Mode and Voltage mode.
Voltage mode
In a voltage mode configuration, the voltage at the cathode of the photodiode is input to a buffer (implemented using a source follower configuration in this case). If you have been following thus far, you are probably wondering how the voltage at the sense node is generated since we indicated earlier on that the incident diodes generate a photocurrent as opposed to a “photovoltage”. Well, it is important to note that the sense node has stray capacitance from the reset transistor M4 (Cgs), photodiode P-N junction and the gate capacitance of transistor M1 which all combine into Capacitor Cd. The photocurrent is therefore integrated onto capacitor Cd generating a voltage that is buffered to the output! Note that the devices within the dashed outline are considered as a single pixel. The buffer acts to separate the sense node from the large column bus. It includes a row select transistor as well as the reset transistor. CMOS voltage mode imagers are prominent owing to their better linearity [3].

Current mode
Current mode imagers on the other hand use current for the readout. They are mostly used to facilitate focal plane image processing which since it is much better to operate on currents as opposed to voltages. However, such imagers still suffer from poor linearity, more susceptibility to noise and hence poor image quality. The poor linearity can be partly explained due to the quadratic relationship between the mosfet input voltage and its drain current. However, with technology scaling, the linearity is getting better.

Noise sources from imagers: Circuit Design perspective
Thus far, we have discussed the different types of image noise that arise from imager circuits and the two main modes of photodetector readouts used in CMOS sensors. In this section we zoom into the 3-T voltage mode imager circuit and look at the major contributors of the different types of circuit noise. This would perhaps give us insight on how to design imager circuits with better noise performance.

In the figure above, the transistors with the largest noise contributions have been highlighted. It is importantly to note that the transistor with the SEL input acts as a switch and so does not have a significant noise contribution.
Reset Transistor
Source of reset noise. The on resistance and capacitance at the source determines the RC time constant and thus how fast the sense node can be reset. Any mismatches between this transistor and other rest transistor for the other pixels results in different pixels being reset to different voltage values. Pelgroms rule tells us that we can increase the size of the resent transistor for better matching. [6] Since the reset transistor is usually minimum-sized, its on resistance also introduces a thermal noise which is bandwidth limited by Cd.
Photodiode
Assuming large CMOS technology is used for all devices (tox>20nm) the MOSFETS will not experience shot noise. As a result, the photodiode is the main contributor of shot noise both due to the signal and dark currents. This noise is observed as the RMS fluctuations of the output voltage and is also bandwidth limited by Cd. In can be shown that increasing the integration time increases the SNR (assuming a shot noise limited scenario) proportionally to the square-root of the integration time.
Source Follower Transistor
Contributes both thermal and flicker noise. This noise can be modelled as a current source between the source and drain of M1. This noise contributes to the output voltage RMS fluctuations as well and is bandwidth limited by the parasitic capacitance at the output of the source-follower. One may think to remedy the issue by adding a capacitor at the output but this increases power consumption, decreases speed, and increases die-area.
Imager Circuit Design: Choices and Tradeoffs
From the discussion above, it is clear that we can trace all the way back to the sources of noise in imager circuits. It is thus conceivable that circuits can be designed in such a way as to have superior noise performance. But how can this be done?
Device Sizing Optimization
This probably stands out when you look at the problem at a glance. Larger device sizing allows more current to flow and as a result, the circuits would have better SNR performance. Moreover, from a thermal noise performance, the total integrated noise of the transistor at the output is proportional to kTC. Wider transistors have larger capacitances hence this would imply reduced total integrated noise. Big win, right? It turns out that this would come at a cost. Larger devices draw more current hence increased power consumption of the circuit. Moreover, this would substantially increase the size of the imager hence the cost of the imager. Apart from cost, there is the drive to make mobile devices smaller and smaller and so larger imagers are not attractive. Also, from the point of view of fabrication, larger devices would result in increased increased global mismatches between transistors made from the same wafer. Such mismatches are the source of offsets in imagers. This implies that a circuit designer needs to find optimal sizes for the transistors in the circuits. The noise specs of an imager would set a lower limit on the size of the transistors while the power and area requirements would set an upper limit on the size.
More Advanced Imager Circuit architectures
Apart from device scaling, another obvious approach to mitigating noise is the use of different circuit architectures. While we have discussed the most basic 3-T imager circuit, other topologies exists perhaps with more transistors per pixel. For instance in [4], a 5-T circuit model that reduces reset noise by up to 25dB is proposed and shown in figure 3 below.

The caveat to this being the resulting circuits are more complicated to design and analyze. While this would result in increased area per pixels due to the number of devices, this is not an issue with the improved CMOS processes with shorter channel lengths.
Use of Noise Cancellation Techniques eg. CDS
As mentioned before, low frequency noise can be eliminated by use of Correlated Double sampling both on the circuit level and post-processing. For example the figure below from [5] discusses the design of a CMOS imager sensor that implements Double Correlated Double Sampling.

This particular architecture employs low noise and high gain column amplifiers to suppress read-out noise. It uses a switched capacitor amplifier in its first CDS circuit that acts as a pixel noise clamp and hence suppress reset noise and DSNU. The second CDS circuit corrects the offset caused by the column amplifier in the previous stage.
How does the Noise affect images? (ISET Camera simulations)
Perhaps it is time we talked about how noise affect images. Since it is hard to trace a specific type of noise all the way from the source to the image, we will take a phenomenological approach as described in [1]. Before diving into a quantitative analysis of the effect of noise in images, it is perhaps useful to get a qualitative feel first. For illustration purposes, we will demonstrate how reset noise resulting from mismatches could affect images by using an analogy.
Pixel Reset: A Simple Analogy
Imagine you have a number of buckets say four. Each of these buckets has a tap at the bottom that can be used to empty the buckets when they have water. Now, let’s say all the four buckets were initially full of water and the taps were turned on for a set amount of time. If it turns out that the taps have different rates of flow, at the end of the emptying period, the four buckets will have different levels of water. If these buckets that have been “emptied” (reset) are then used to collect a different liquid and all buckets receive the same quantity of the second liquid, the resulting liquid levels will be different. Figure below illustrates this.

This analogy is apt for describing reset noise in imagers. In this case, the pixels are represented by the buckets. If the pixels are not reset to the same level (equivalent of opening taps for buckets), they will have different offsets. As a result, even if they all exposed to an equivalent number of photons, they will have different readings. This will appear as noise in images taken by such pixels!
Quantitative Image Quality Analysis: visible Signal to Noise Ratio (vSNR)
There exist many metrics that can be used to evaluate image quality. In our project we decided to use the Visual Signal to Noise Ratio (vSNR) metric which was proposed in [7]. vSNR is the inverse of the standard deviation of the S-CIELAB representation of a uniform field. It has units of 1/△E. This is particularly useful in our case since we are investigating noise visibility in images. vSNR extends the existing metrics such as SNR, pSNR to account of display rendering as well viewing circumstances [7].
Testing conditions
In order to observe the effect of noise, we perform camera pipeline simulations in Matlab using the Image Systems Evaluations Toolbox (ISET). We created a virtual camera pipeline by designing the optics (oi), sensor and image processing (ip).
Optics
For the purposes of this simulations, we assumed a diffraction limited lens of focal length 3mm and f# 2.8. We also included the cos4th falloff for the off axis vignetting of the imaging lens.
Sensor
We assumed a bayer RGGB sensor with a well capacity of 9000, voltage swing of 1.15V and fill-factor of 0.45. We also assumed a pixel size of 2.2e-6m. We also assume a read noise of 960uV. To simulate different cameras, we designed each of the cameras to have different DSNU and PRNU values with a particular value of the dark current. We also tested the cameras with and without the dark current.
For all cameras, we used the calibration settings of the Nikon D100 camera that are available from the Iset toolbox.
Image Processing
We used the default image processing pipeline (using ipcreate) from ISET library.
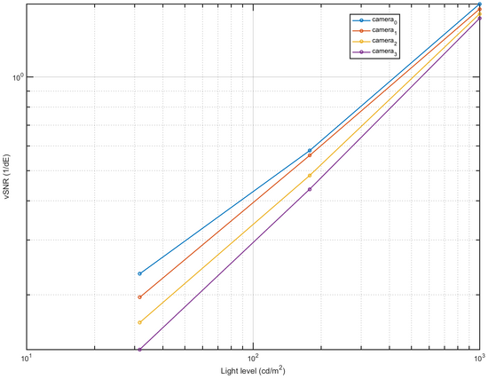
Results
The figure below shows the variation of the vSNR for 4 different cameras that were simulated. All the four cameras have a sensor with a dark voltage of 10uV/sec. Camera 0 had no PRNU and DSNU. The values of the PRNU and DSNU were increased from camera 1 through camera 3. As expected, camera0 has better vSNR compared to the rest of the cameras. The PRNU and DSNU degrade the vSNR hence the drop as their values are increased.

It is also clear that the differences between the cameras is more visible at lower light levels than at higher light levels.
Conclusions
In this project we have reviewed the various noise sources of noise in CMOS imagers, introduced basic and more complex imaging circuits, explained some techniques used to increase performance, and explored how the circuit noise affects the quality of the images. This project is a very broad overview of the basics of imager circuit noise and there is much more information on techniques which mitigate the issues that we covered. We hope that this work allows a bit more insight into the complexities of the inner workings of imagers and explains why imagers have been becoming better and better every year.
Appendix
Here are relevant MATLAB code that we used to simulate the camera pipelines while investigating the effect of noise on images.
Effect of DSNU and PRNU on vSNR
This file contains the matlab code that can be used to evaluate the effect of DSNU, PRNU and Dark voltage on the vSNR of a camera. To evaluate, you need to add the iSET folder to your MATLAB path. The code can be found here: https://goo.gl/TFnnrY
Effect of noise on an image
This script will walk through the effect of noise on an image. It starts by first creating a scene (Caucasian male), generate optics, sensor and and image processing pipeline. The image is updated on every stage hence the user can view the image down the pipeline. You can find the code here: https://goo.gl/Qz8sQA
Enjoy!
References
[1] http://scien.stanford.edu/jfsite/Papers/ImageSystemsSimulation_Wiley.pdf
[2] J. Baker, “CMOS Circuit Design, Layout, and Simulation”
[3] Z. Yang, V. Gruev and J. Van der Spiegel, "A CMOS linear voltage/current dual-mode imager," 2006 IEEE International Symposium on Circuits and Systems, Island of Kos, 2006, pp. 4
[4] http://www.jos.ac.cn/bdtxbcn/ch/reader/create_pdf.aspx?file_no=10041506
[5] H. Takahashi et al., "A 1/2.7 in 2.96 M-Pixel CMOS image sensor with double CDS architecture for full high-definition camcorders," IEEE J. Solid State Circuits, vol. 42, no. 12, pp. 2960 2967, Dec. 2007.
[6] M. J. M. Pelgrom, A. C. J. Duinmaijer and A. P. G. Welbers, "Matching properties of MOS transistors," in IEEE Journal of Solid-State Circuits, vol. 24, no. 5, pp. 1433-1439, Oct 1989.
[7] J. Farrel, M. Okincha, M. Parmar and B. Wandell, “Using visible SNR (vSNR) to compare the image quality of pixel binning and digital resizing ”